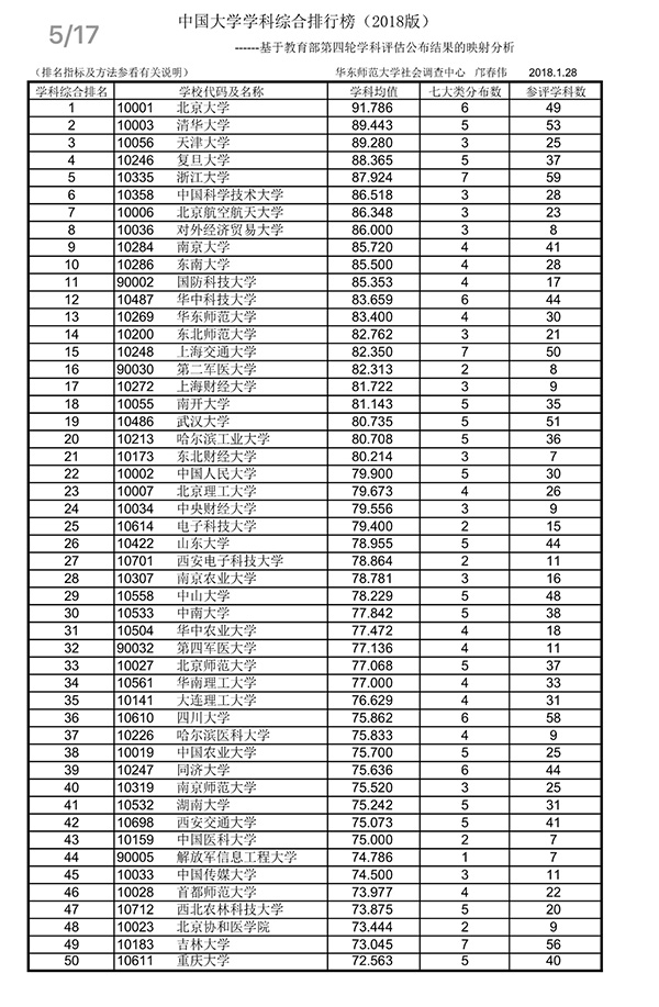
28日傍晚,华东师范大学社会调查中心发布“中国大学学科综合排行榜”。基于教育部第四轮学科评估公布结果,采取映射方法研究分析后,最终形成的2018版中国大学学科综合排行榜,位于前五名的分别是: 北京大学、清华大学、天津大学、复旦大学和浙江大学。
作为《中国大学学科综合排行榜——基于教育部第四轮学科评估公布结果的映射分析》研究团队的负责人,华东师范大学社会发展学院副教授、华东师范大学社会调查中心主任邝春伟介绍,教育部第四轮学科评估结果于 2017 年 12 月 28 日对外公布,按“分档”方式呈现。具体方法是按“学科整体水平得分”的位次百 分位,将前 70%的学科分 9 档公布:前 2%(或前 2 名)为 A+,2%~ 5%为 A(不含 2%,下同),5%~10%为 A-,10%~20%为 B+,20%~30% 为 B,30%~40%为 B-,40%~50%为 C+,50%~60%为 C,60%~70%为 C-。与前三轮评估结果不同的是,这次的学科评估给出的是等级,而不是具体分数。
基于这种情况,华东师大研究团队按照映射的方法,根据位次百分位将相应的级别转换为具体的映射分值。(具体计算方法是: 映射分值=100 - 位次百分位数的平均值。 )根据高校各参评学科的映射分值,计算该校学科综合的均值,再以均值大小排序。
根据研究团队的分析而形成的中国一流大学学科综合排行如下——

中国大学学科综合排行榜(2018版)前50名如下:

(原题为:《刚刚,2018版中国大学学科综合排行榜发布,结果竟然是这样……》)
① 凡本站注明“稿件来源:中国教育在线”的所有文字、图片和音视频稿件,版权均属本网所有,任何媒体、网站或个人未经本网协议授权不得转载、链接、转贴或以其他方式复制发表。已经本站协议授权的媒体、网站,在下载使用时必须注明“稿件来源:中国教育在线”,违者本站将依法追究责任。
② 本站注明稿件来源为其他媒体的文/图等稿件均为转载稿,本站转载出于非商业性的教育和科研之目的,并不意味着赞同其观点或证实其内容的真实性。如转载稿涉及版权等问题,请作者在两周内速来电或来函联系。




中国教育在线














